GK FINECHEM VIETNAM CO., LTD.The leading supplier of: Reagent, Pure Chemicals, Industrial Solvents, Analyzers and Laboratory Equipment
PRODUCTS
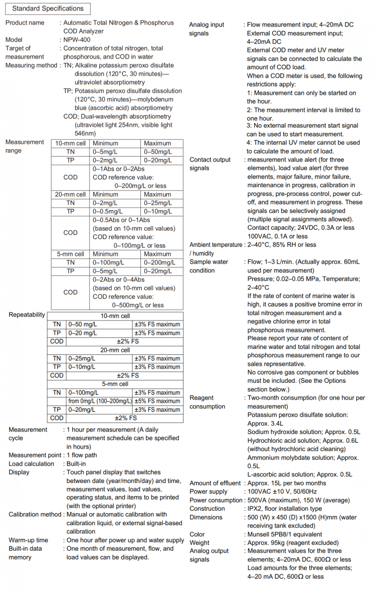
Total Nitrogen, Total Phosphorus, and COD Automatic Measurement Equipment
Product Code : NPW-400
Maker : DKK-TOA
Model : NPW-400
Origin : Japan
related products
Automated Total Nitrogen Analyzer,...
Detail